Index of /c8skyrocket-stage-bak20250617/vendor/myclabs/deep-copy/doc

[ICO]NameLast modifiedSizeDescription

[PARENTDIR]Parent Directory   -  
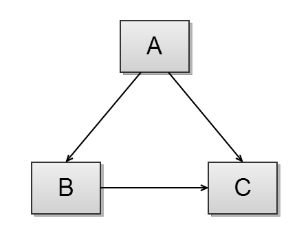
[IMG]clone.png 2017-10-20 03:58 12K 
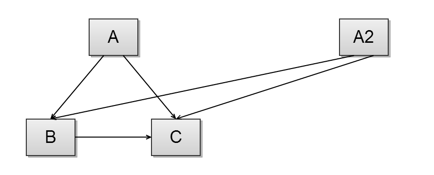
[IMG]deep-clone.png 2017-10-20 03:58 14K 
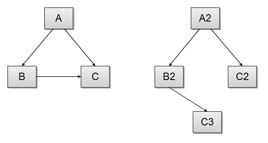
[IMG]deep-copy.png 2017-10-20 03:58 11K 
[IMG]graph.png 2017-10-20 03:58 6.3K